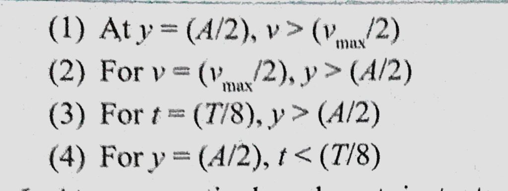
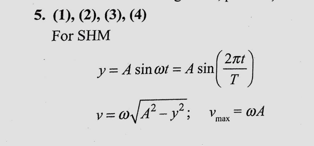
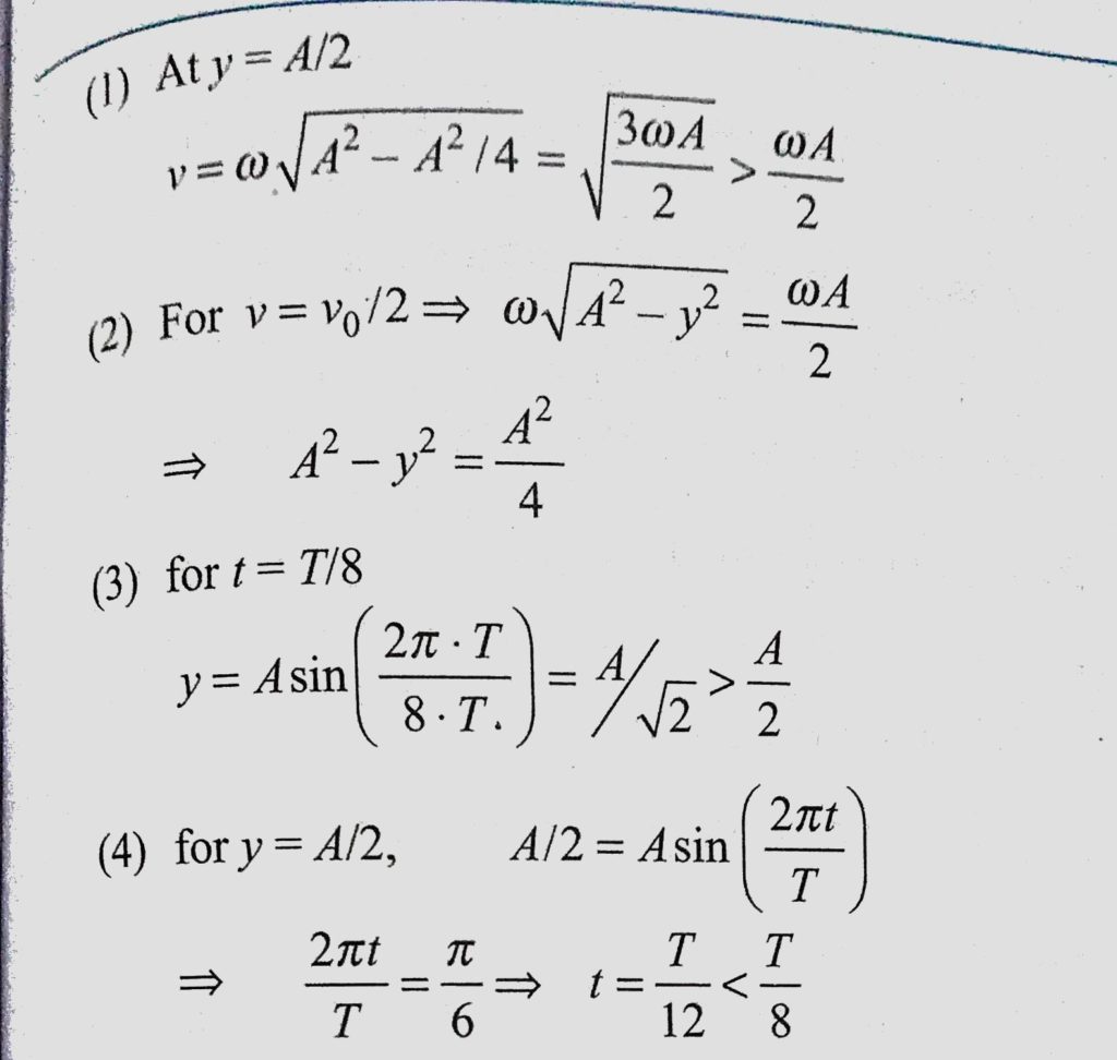
For a body executing SHM with amplitude A, time period T, maximum velocity vmax and phase constant zero, which of the following statements are correct for 0 < t < T/4 For a body executing SHM with amplitude A maximum velocity vmax and phase constant zero time period T which of the following statements are correct for 0 < t < T/4 October 31, 2020 Category: Uncategorised (JEE Advanced Physics by BM Sharma + GMP Solutions) , Facebook Messenger WhatsApp Share this:TwitterFacebook Related