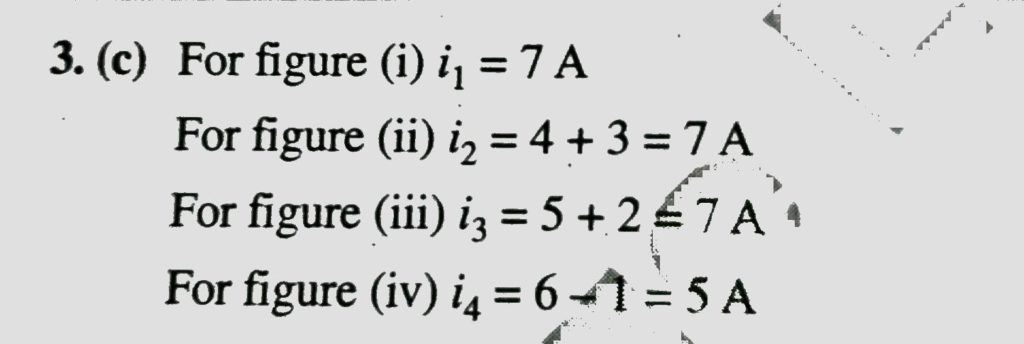
Following figures show four situations in which positive and negative charges move horizontally through a region and give the rate at which each charge moves. Rank the situations according to the effective current through the region greatest first. and the charged capacitor is connected to the uncharged capacitor C2 by closing S2. C2 = 3 μF and V = 20 V. Capacitor C1 is first charged by closing the switch S1. Switch S1 is then opened Consider the circuit shown where C1= 6 μF September 19, 2020 Category: Uncategorised (JEE Advanced Physics by BM Sharma + GMP Solutions) , Facebook Messenger WhatsApp Share this:TwitterFacebook Related