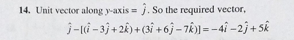
Find the vector that must be added to the vector i – 3j + 2k and 3 i + 6j – 7k so that the resultant vector is a unit vector along the y axis Find the vector that must be added to the vector i - 3j + 2k and 3 i + 6j - 7k so that the resultant vector is a unit vector along the y axis September 16, 2020 Category: Uncategorised (JEE Advanced Physics by BM Sharma + GMP Solutions) , Facebook Messenger WhatsApp Share this:TwitterFacebook Related