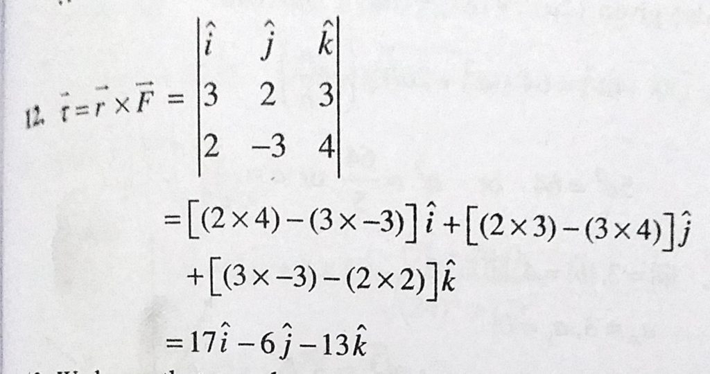
Find the torque of the force F = (2i – 3j + 4k) N acting at the point r = (3i + 2j + 3k) m about the origin. Find the torque of the force F = (2i - 3j + 4k) N acting at the point r = 93i + 2j + 3k) m about the origin. September 16, 2020 Category: Uncategorised (JEE Advanced Physics by BM Sharma + GMP Solutions) , Facebook Messenger WhatsApp Share this:TwitterFacebook Related