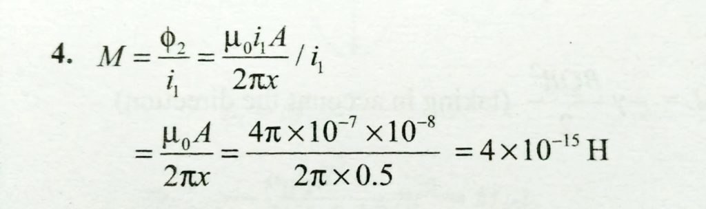
Find the mutual inductance between the long straight conductor and a small loop area 10^-8 m^2 placed at a distance of seperation x = 0.5 m as shown in figure. Find the mutual inductance between the long straight conductor and a small loop area 10^-8 m^2 placed at a distance of seperation x = 0.5 m as shown in figure. October 21, 2020 Category: Uncategorised (JEE Advanced Physics by BM Sharma + GMP Solutions) , Facebook Messenger WhatsApp Share this:TwitterFacebook Related