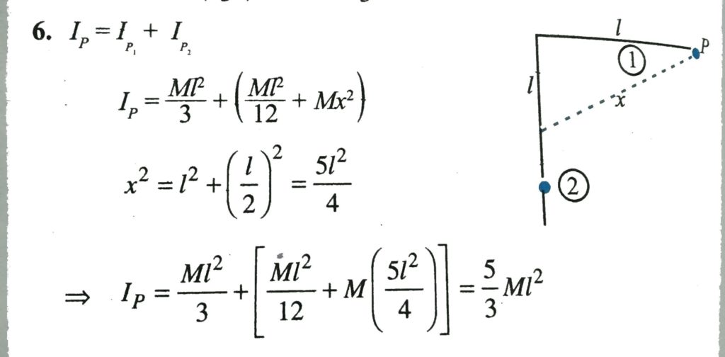
Find the moment of interia of the two uniform joint rods about point P as shown in figure. Use parallel axis theorem. Mass of each rod is M. Find the moment of interia of the two uniform joint rods about point P as shown in figure. Use parallel axis theorem. Mass of each rod is M. September 25, 2020 Category: Uncategorised (JEE Advanced Physics by BM Sharma + GMP Solutions) , Facebook Messenger WhatsApp Share this:TwitterFacebook Related