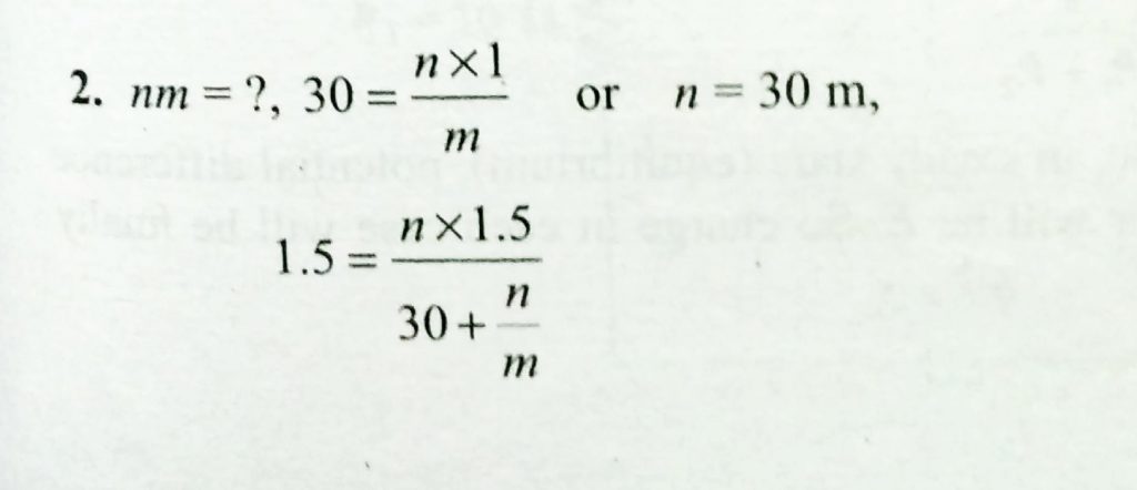
Find the minimum number of cells required to produce a current of 1.5 A through a resistance of 30 ohm . Given that the emf of each cell is 1.5 V and the internal resistance is 1 ohm. Find the minimum number of cells required to produce a current of 1.5 A through a resistance of 30 ohm . Given that the emf of each cell is 1.5 V and the internal resistance is 1 ohm. November 11, 2020 Category: Uncategorised (JEE Advanced Physics by BM Sharma + GMP Solutions) , Facebook Messenger WhatsApp Share this:TwitterFacebook Related