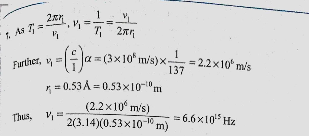
Find the frequency of revolution of the electron in the first stationary orbit of H-atom. Find the frequency of revolution of the electron in the first stationary orbit of H-atom. October 15, 2020 Category: Uncategorised (JEE Advanced Physics by BM Sharma + GMP Solutions) , Facebook Messenger WhatsApp Share this:TwitterFacebook Related