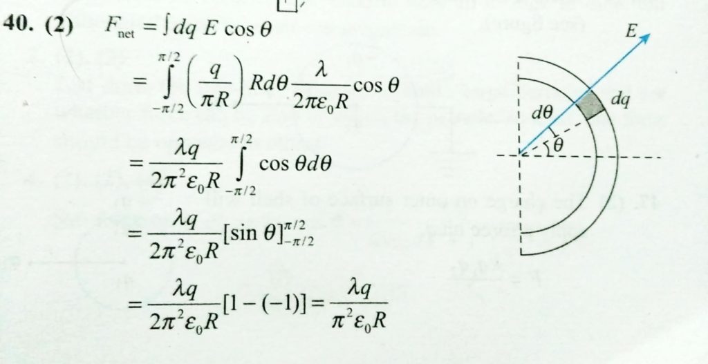
Find the force experienced by a semicircular rod having a charge q as shown in fig. Radius of the wire is R, and the line of charge with linear charge density λ passes through its center and is perpendicular to the plane of wire. and the line of charge with linear charge density λ passes through its center and is perpendicular to the plane of wire. Find the force experienced by a semicircular rod having a charge q as shown in fig. Radius of the wire is R October 29, 2020 Category: Uncategorised (JEE Advanced Physics by BM Sharma + GMP Solutions) , Facebook Messenger WhatsApp Share this:TwitterFacebook Related