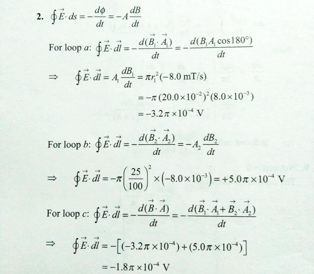
Figure shows two circular regions R1 and R2 with redii r1 = 21.2 cm and r2 = 32.3 cm, respectively. In R1 there is a uniform magetic field B1=48.6mT into the page and in R2 there is a uniform magnetic field B2=77.2mT out of the page (ignore any fringing of these fields).Both fields are decreasing at the rate 8.50 mT/s. Calculate the intergal ∮E .dl for each of the three identical paths.

