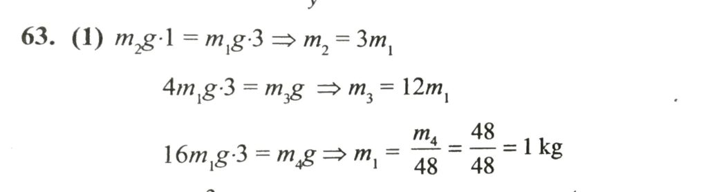
Figure shows an arrangement of masses hanging from a ceiling. In equilibrium, each rod is horizontal, has negligible mass and extends three times as far to the right of the wire supporting it as to the left. If mass m4 is 48 kg then mass m1 is equal to

