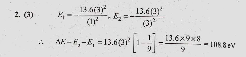
Energy required for the electron excitation in Li++ from the first to the third Bohr orbit is Energy required for the electron excitation in Li++ from the first to the third Bohr orbit is October 16, 2020 Category: Uncategorised (JEE Advanced Physics by BM Sharma + GMP Solutions) , Facebook Messenger WhatsApp Share this:TwitterFacebook Related