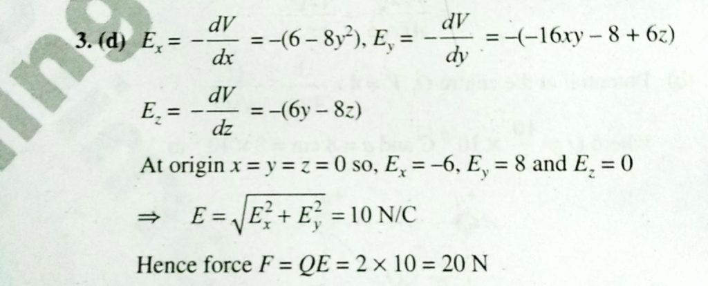
Electric potential is given by V = 6x -8xy^ – 8y + 6yz – 4z^2 Then electric force acting on 2C point charge placed on origin will be Electric potential is given by V = 6x -8xy^ - 8y + 6yz - 4z^2 Then electric force acting on 2C point charge placed on origin will be September 17, 2020 Category: Uncategorised (JEE Advanced Physics by BM Sharma + GMP Solutions) , Facebook Messenger WhatsApp Share this:TwitterFacebook Related