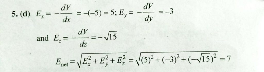
Electric potential at any point is V =-5x +3y +root 15z, then the magnitude of the electric field is Electric potential at any point is V =-5x +3y +root 15z then the magnitude of the electric field is September 17, 2020 Category: Uncategorised (JEE Advanced Physics by BM Sharma + GMP Solutions) , Facebook Messenger WhatsApp Share this:TwitterFacebook Related