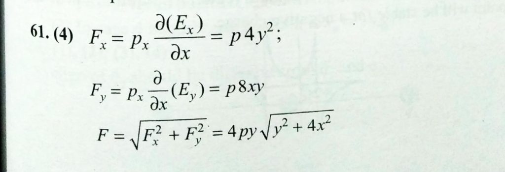
Electric dipole of mamoment P = Pi is kept at a point ( x, y ) in an electric field E = 4xy^2 i + 4x^2 y j .Find the force on the dipole. Electric dipole of mamoment P = Pi is kept at a point ( x y ) in an electric field E = 4xy^2 i + 4x^2 y j .Find the force on the dipole. October 30, 2020 Category: Uncategorised (JEE Advanced Physics by BM Sharma + GMP Solutions) , Facebook Messenger WhatsApp Share this:TwitterFacebook Related