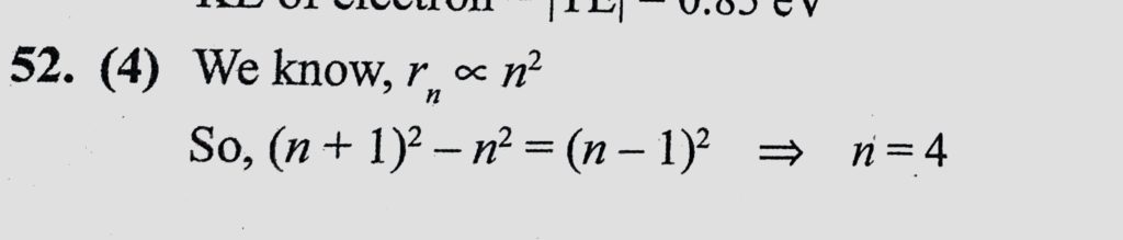
Difference between nth and (n +1)th Bohr’s radius of hydrogen atom is equal to (n – 1)th Bohr’s radius. The value of n is Difference between nth and (n +1)th Bohr's radius of hydrogen atom is equal to (n - 1)th Bohr's radius. The value of n is October 16, 2020 Category: Uncategorised (JEE Advanced Physics by BM Sharma + GMP Solutions) , Facebook Messenger WhatsApp Share this:TwitterFacebook Related