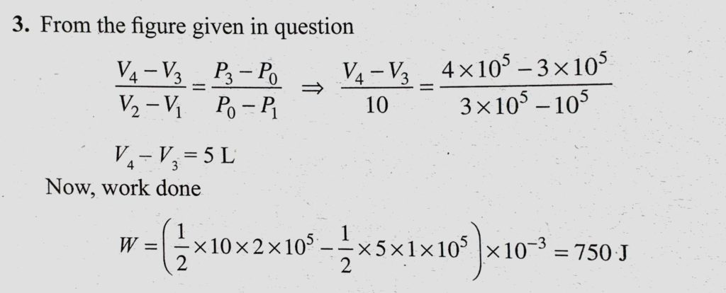
Determine the work done by an ideal gas doing 1 to 4 to 3 to 2 to 1. Given P1 = 10^5 Pa, P0 = 3 * 10^5 Pa, P3 = 4 * 10^5 Pa and V2-V1 = 10 L. Determine the work done by an ideal gas doing 1 to 4 to 3 to 2 to 1. Given P1 = 10^5 Pa P0 = 3 * 10^5 Pa P3 = 4 * 10^5 Pa and V2-V1 = 10 L. October 28, 2020 Category: Uncategorised (JEE Advanced Physics by BM Sharma + GMP Solutions) , Facebook Messenger WhatsApp Share this:TwitterFacebook Related