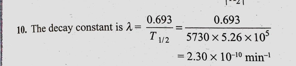
Determine the average 14C activity in decays per minute per gram of natural carbon found in living organisms if the concentration of 14C relative to that of 12C is 1.4 * 10^-12 and half-life Determine the average 14C activity in decays per minute per gram of natural carbon found in living organisms if the concentration of 14C relative to that of 12C is 1.4 * 10^-12 and half-life October 17, 2020 Category: Uncategorised (JEE Advanced Physics by BM Sharma + GMP Solutions) , Facebook Messenger WhatsApp Share this:TwitterFacebook Related