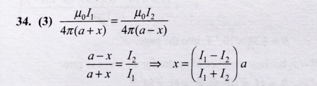
Currents I1 and I2 flow in the wires shown in figure. THe field is zero at distance x to the right of O. then Currents I1 and I2 flow in the wires shown in figure. THe field is zero at distance x to the right of O. then October 17, 2020 Category: Uncategorised (JEE Advanced Physics by BM Sharma + GMP Solutions) , Facebook Messenger WhatsApp Share this:TwitterFacebook Related