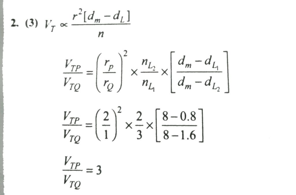
Consider two solid spheres P and Q each of density 8 gm/cm^3 and diameters 1 cm and 0.5 cm, respectively. Sphere P is dropped into a liquid of density 0.8 gm/cm^3 and viscosity η = 3 poiseulles. Sphere Q is dropped into a liquid of density 1.6 gm/cm^3 and viscosity η = 2 poiseulles. The ratio of the terminal velocities of P and Q is

