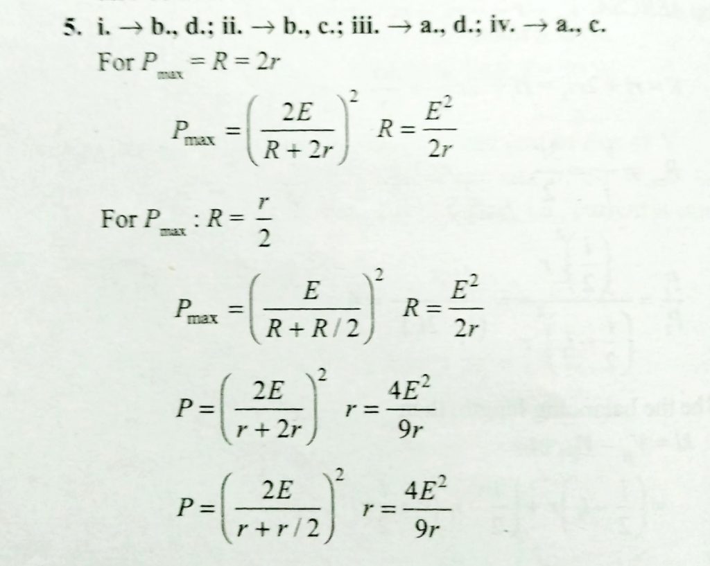
Consider two identical cells each of emf E and internal resistance r connected to a load resistance R. Consider two identical cells each of emf E and internal resistance r connected to a load resistance R. November 18, 2020 Category: Uncategorised (JEE Advanced Physics by BM Sharma + GMP Solutions) , Facebook Messenger WhatsApp Share this:TwitterFacebook Related