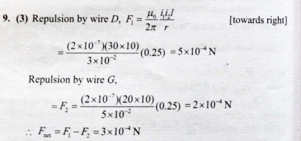
Consider three long straignht parallel wires as shown in figure. THe force the experienced by a 25 cm length of wire C is N X 10^-4 N. Find the value of N? Consider three long straignht parallel wires as shown in figure. THe force the experienced by a 25 cm length of wire C is N X 10^-4 N. Find the value of N? October 17, 2020 Category: Uncategorised (JEE Advanced Physics by BM Sharma + GMP Solutions) , Facebook Messenger WhatsApp Share this:TwitterFacebook Related