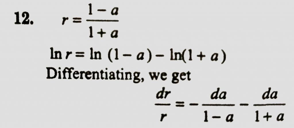
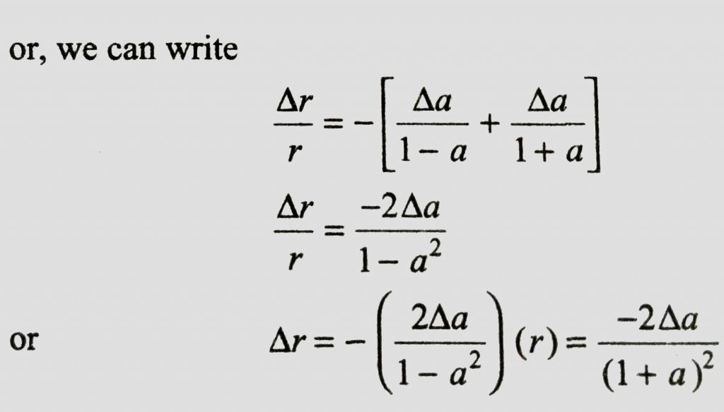
Consider the ratio r = (1-a) /(1+a) to be determined by measuring a dimensionless quantity a.if the error in the measurement of is a is delta a(delta a/a<<1),then what is the error delta r in determinnig r? Consider the ratio r = (1-a) /(1+a) to be determined by measuring a dimensionless quantity a.if the error in the measurement of is a is delta a(delta a/a<<1) then what is the error delta r in determinnig r? February 11, 2021 Category: Uncategorised (JEE Advanced Physics by BM Sharma + GMP Solutions) , Facebook Messenger WhatsApp Share this:TwitterFacebook Related