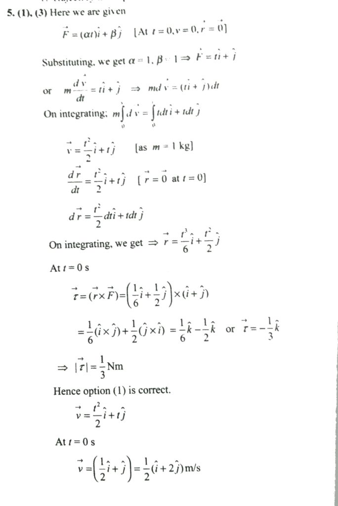
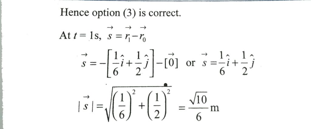
Consider a body of mass 1.0 kg at rest at the origin at time t = 0. A force F = (αt i ^ +β j ^ ) is applied on the body, where α=1.0Ns −1 and β=1.0N. The torque acting on the body about the origin at time t = 1.0 s is τ . Which of the following statements is (are) true?


