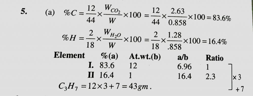
Complete combustion of 0.858 g of compound X gives 2.63 g of CO2 and 1.28 G of H2O . The lowest molecular mass X can have Complete combustion of 0.858 g of compound X gives 2.63 g of CO2 and 1.28 G of H2O . The lowest molecular mass X can have November 24, 2020 Category: Uncategorised (JEE Advanced Physics by BM Sharma + GMP Solutions) , Facebook Messenger WhatsApp Share this:TwitterFacebook Related