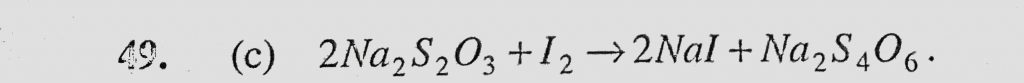
Colour of iodine solution is disappeared by shaking it with aqueous solution of (a) H2SO4 (b) Na2S (c) Na2S2O3 (d) Na2SO4 Colour of iodine solution is disappeared by shaking it with aqueous solution of (a) H2SO4 (b) Na2S (c) Na2S2O3 (d) Na2SO4 November 24, 2020 Category: Uncategorised (JEE Advanced Physics by BM Sharma + GMP Solutions) , Facebook Messenger WhatsApp Share this:TwitterFacebook Related