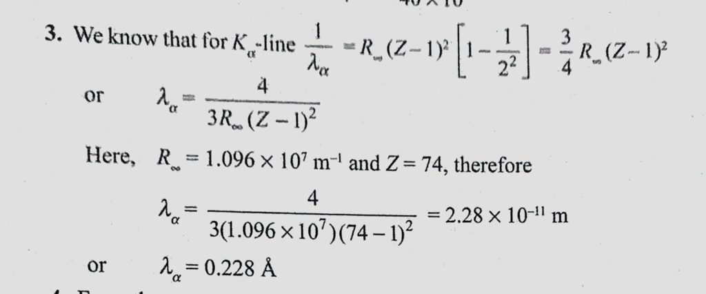
Calculate the wavelength of K alpha line for the target made of tungsten (Z = 74). Calculate the wavelength of K alpha line for the target made of tungsten (Z = 74). October 15, 2020 Category: Uncategorised (JEE Advanced Physics by BM Sharma + GMP Solutions) , Facebook Messenger WhatsApp Share this:TwitterFacebook Related