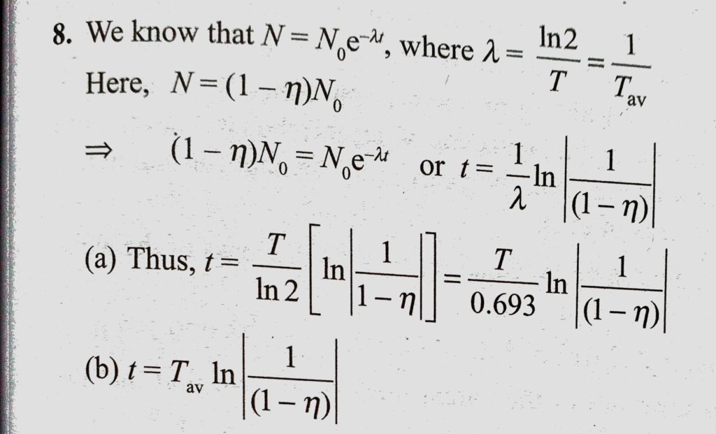
Calculate the time taken to decay 100 percent of a radioactive sample in terms of (a) half-life T and (b) mean-life Tav. Calculate the time taken to decay 100 percent of a radioactive sample in terms fo (a) half-life T and (b) mean-life Tav. October 17, 2020 Category: Uncategorised (JEE Advanced Physics by BM Sharma + GMP Solutions) , Facebook Messenger WhatsApp Share this:TwitterFacebook Related