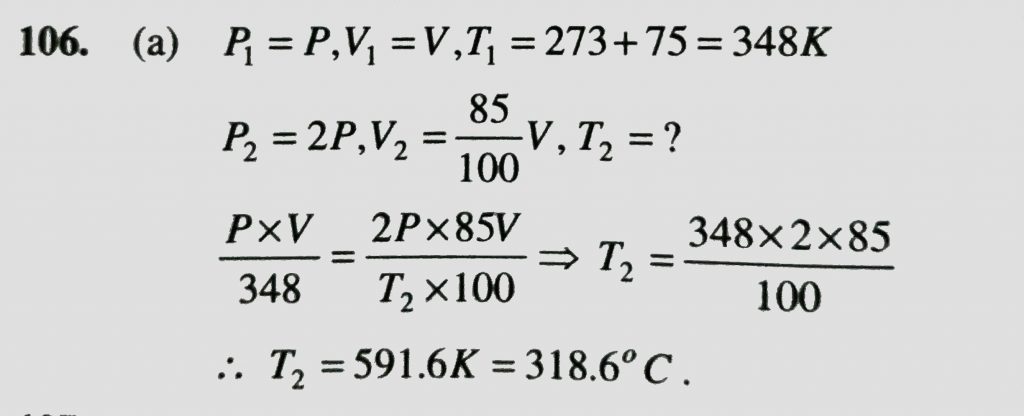
At what temperature , the sample of neon gas would be heated to double of its pressure , if the initial volume of gas is /are reduced to 15 % at 75 degree C At what temperature if the initial volume of gas is /are reduced to 15 % at 75 degree C the sample of neon gas would be heated to double of its pressure February 11, 2021 Category: Uncategorised (JEE Advanced Physics by BM Sharma + GMP Solutions) , Facebook Messenger WhatsApp Share this:TwitterFacebook Related