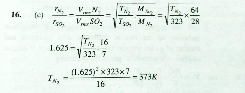
At what temperature , the rate of effusion of N2 would be 1.625 times that of SO2 at 50 drgree At what temperature the rate of effusion of N2 would be 1.625 times that of SO2 at 50 drgree February 10, 2021 Category: Uncategorised (JEE Advanced Physics by BM Sharma + GMP Solutions) , Facebook Messenger WhatsApp Share this:TwitterFacebook Related