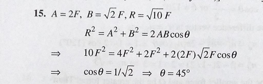
At what angle should the two force vectors 2F and root 2 F act so that the resultant force is root 10 F? At what angle should the two force vectors 2F and root 2 F act so that the resultant force is root 10 F? September 16, 2020 Category: Uncategorised (JEE Advanced Physics by BM Sharma + GMP Solutions) , Facebook Messenger WhatsApp Share this:TwitterFacebook Related