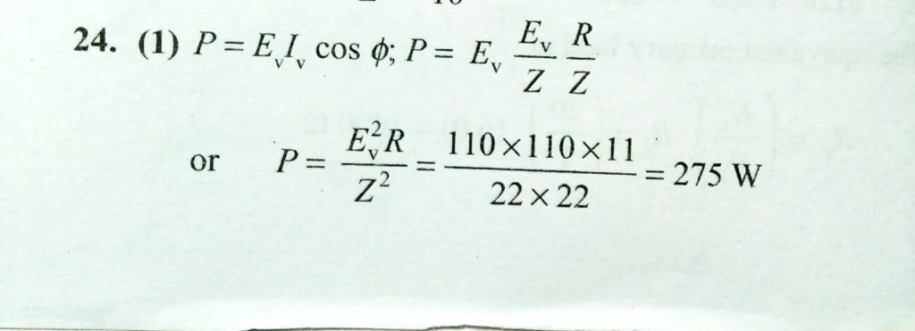
An rms voltage of 110 V is applied across a series circuit having a resistance 11 ohm and an impedance 22 ohm. The power consumed is An rms voltage of 110 V is applied across a series circuit having a resistance 11 ohm and an impedance 22 ohm. The power consumed is October 27, 2020 Category: Uncategorised (JEE Advanced Physics by BM Sharma + GMP Solutions) , Facebook Messenger WhatsApp Share this:TwitterFacebook Related