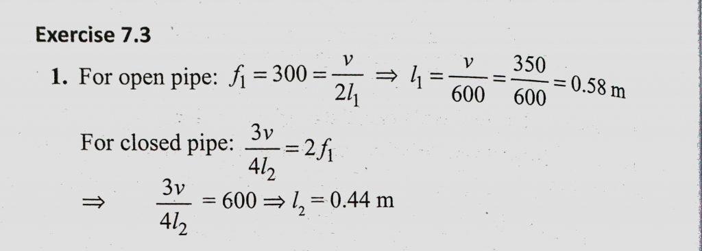
An open organ pipe has a fundamental frequency of 300 Hz. The first overtone of a closed organ pipe has the same frequency as the first overtone of the open pipe. Find length of each pipe. An open organ pipe has a fundamental frequency of 300 Hz. The first overtone of a closed organ pipe has the same frequency as the first overtone of the open pipe. Find length of each pipe. November 5, 2020 Category: Uncategorised (JEE Advanced Physics by BM Sharma + GMP Solutions) , Facebook Messenger WhatsApp Share this:TwitterFacebook Related