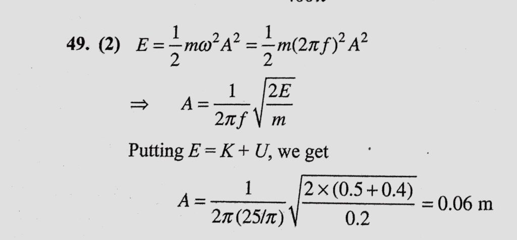
An object of mass 0.2 kg executes simple harmonic motion along the x-axis with a frequency of 25/pie Hz. At the position x = 0.04 m, the object has a kinetic energy of 0.5 J and An object of mass 0.2 kg executes simple harmonic motion along the x-axis with a frequency of 25/pie Hz. At the position x = 0.04 m the object has a kinetic energy of 0.5 J and October 31, 2020 Category: Uncategorised (JEE Advanced Physics by BM Sharma + GMP Solutions) , Facebook Messenger WhatsApp Share this:TwitterFacebook Related