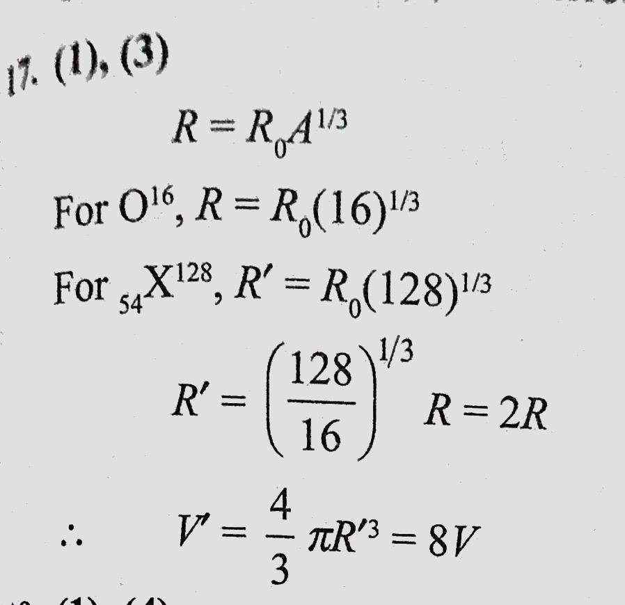
An O16 nucleus is spherical and has a radius R and a volume v = 4/3 pie R^3. According to the empirical observations, the volume of the 54X128 nucleus assumed to be spherical is V’ and radius is R’. Then An O16 nucleus is spherical and has a radius R and a volume v = 4/3 pie R^3. According to the empirical observations the volume of the 54X128 nucleus assumed to be spherical is V' and radius is R'. Then October 18, 2020 Category: Uncategorised (JEE Advanced Physics by BM Sharma + GMP Solutions) , Facebook Messenger WhatsApp Share this:TwitterFacebook Related