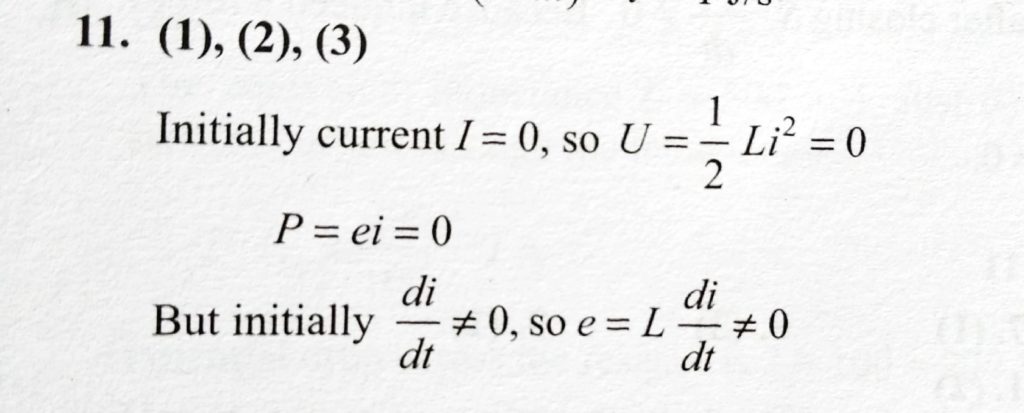
An LR circuit with a battery connected at t = 0 . which of the following quantities will be zreo just after the connection ? An LR circuit with a battery connected at t = 0 . which of the following quantities will be zreo just after the connection ? October 24, 2020 Category: Uncategorised (JEE Advanced Physics by BM Sharma + GMP Solutions) , Facebook Messenger WhatsApp Share this:TwitterFacebook Related