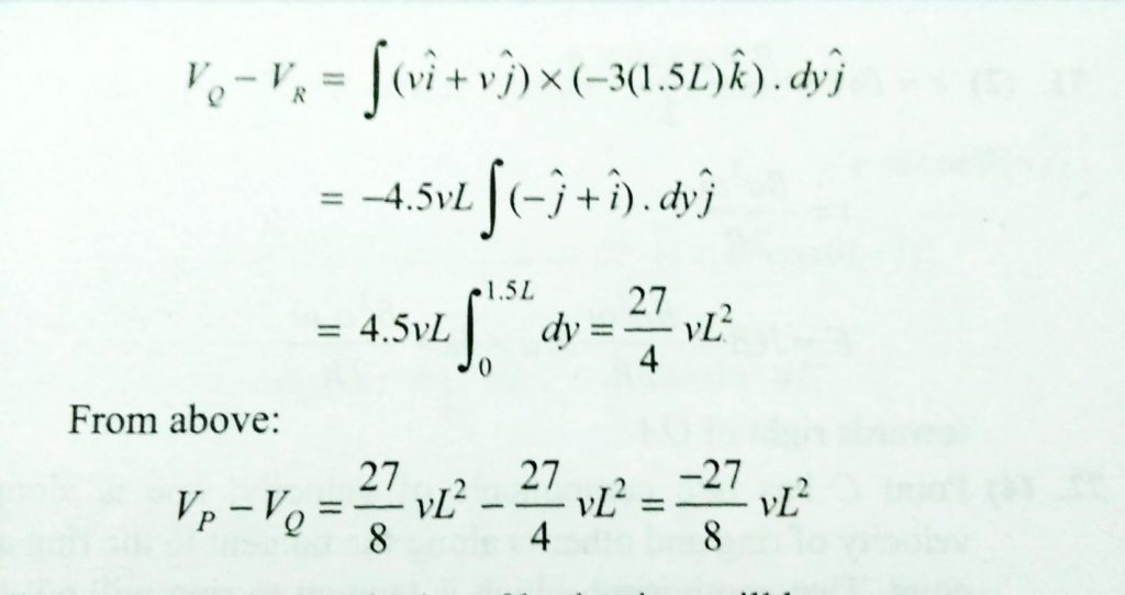
An inverted L shaped conductor PRQ is made by joining two perpendicular conducting rods, each of length 1.5 L, at end R. This structure is moving in x-y plane containing variable magnetic field B =−3 xeˆ(k) with a velocity veˆ(i) + v jˆ. If potential of P is Vp and that of Q is VQ, then value of VP − V(Q) at the instant when P is at origin as shown in Fig. Will be


