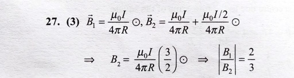
An infinitely long conductor PQR is bent to form a right angle as shown in figure. A current I flows through PQR. The magnetic field due to this current carrying conductor a the point M is B 1 . Now, another infinitely long straight conductor QS, is connected at Q so that the current is 2 1 I is QR as well as in QS, the current in PQ remaining unchanged. The magnetic field at M is now B 2 . the ratio B 1 /B 2 is given by

