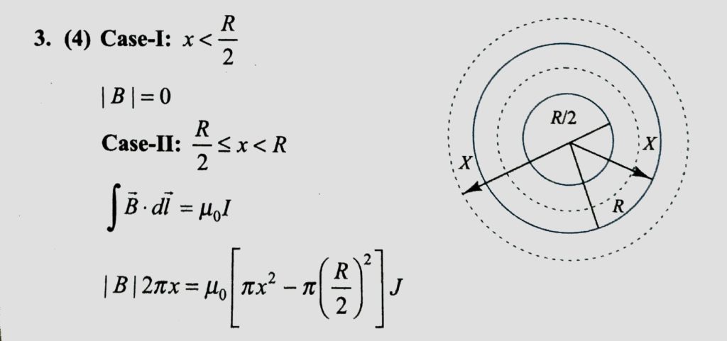
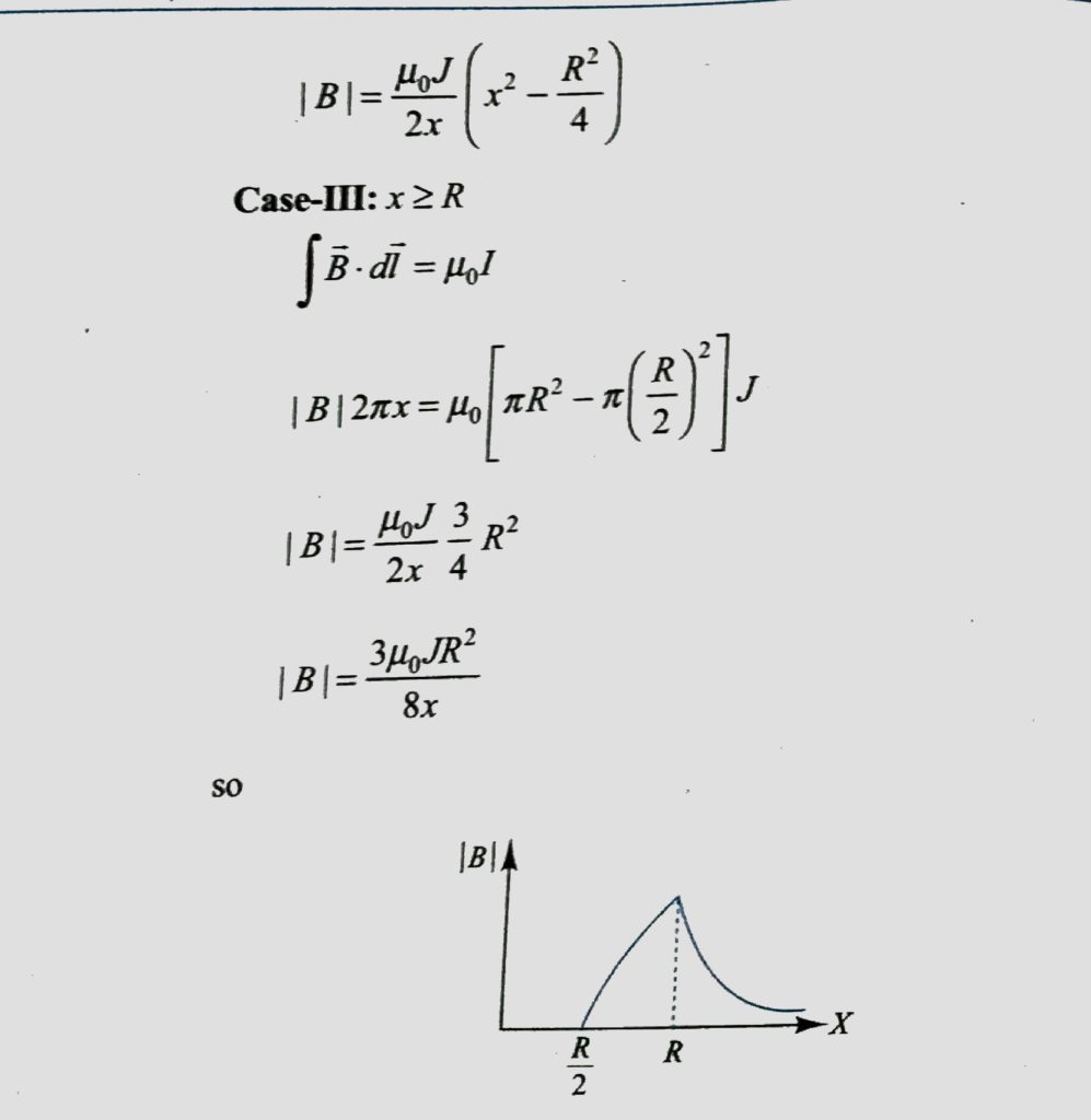
An infinetly long hallow conducting cylinder with inner radius R/2 and outer radius R carries a unjiform current density along length. The magnitude of the magnetic field, B as as a function of th radial distance r from the axis is best represented by


