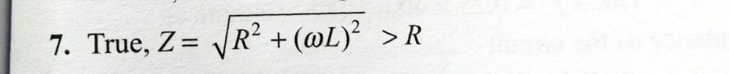
An inductor wire has somw resistance R when connected to dc. It is connected to an ac source . Now the impedance of the wire will be more than R . ( true / false ) An inductor wire has somw resistance R when connected to dc. It is connected to an ac source . Now the impedance of the wire will be more than R . ( true / false ) October 27, 2020 Category: Uncategorised (JEE Advanced Physics by BM Sharma + GMP Solutions) , Facebook Messenger WhatsApp Share this:TwitterFacebook Related