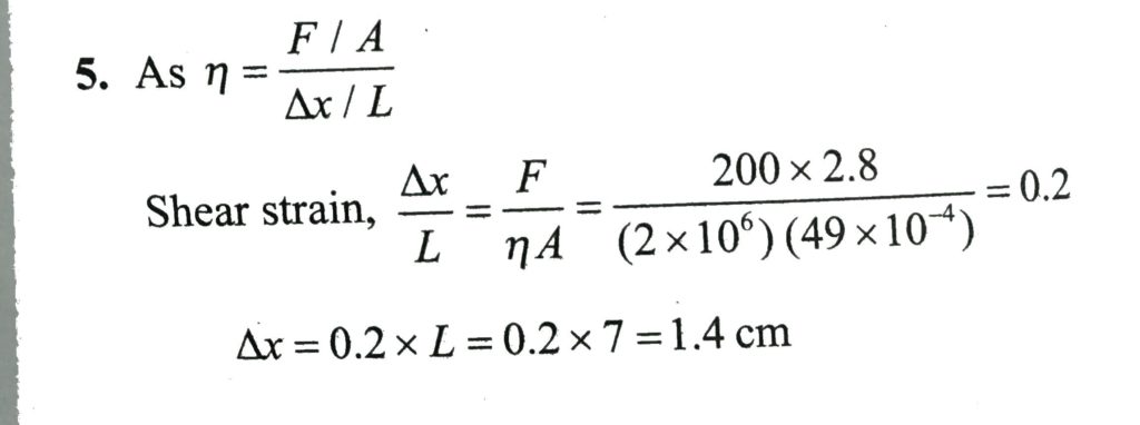
An Indian rubber cube of side 7 cm has one side fixed, while a tengential force equal to the weight of 200 kilogram is applied to the opposite face. Find the shearing strain produced and distance through which th strained side moves. Modulus of rigidity for rubber is 2× 10^6 N/m^2.

