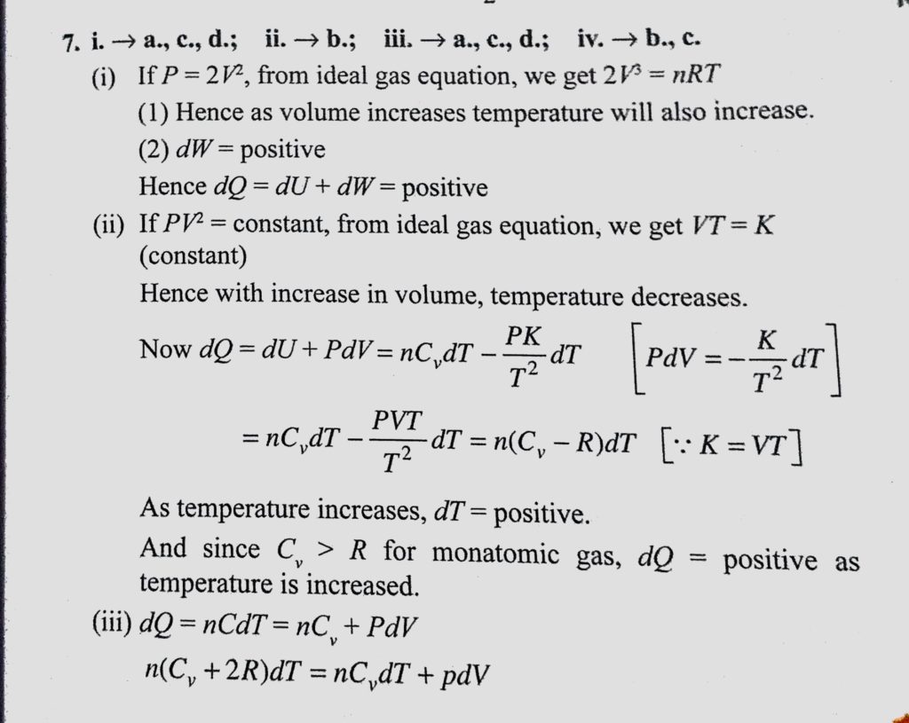
An ideal monatomic gas undergoes different types of processes which are described in Column 1. Match the corresponding effects in Column 2. The letters have their usual meanings. An ideal monatomic gas undergoes different types of processes which are described in Column 1. Match the corresponding effects in Column 2. The letters have their usual meanings. October 29, 2020 Category: Uncategorised (JEE Advanced Physics by BM Sharma + GMP Solutions) , Facebook Messenger WhatsApp Share this:TwitterFacebook Related