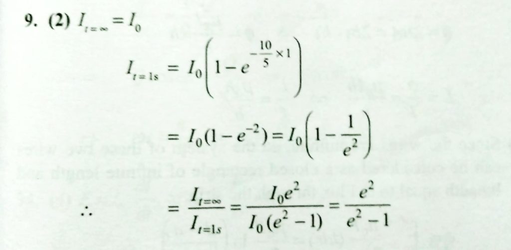
An emf of 15 V is applied in a circuit containing 5 H inductance and 10 ohm resistance . The ratio of the currents at time t = infinity and t = 1 s is An emf of 15 V is applied in a circuit containing 5 H inductance and 10 ohm resistance . The ratio of the currents at time t = infinity and t = 1 s is October 22, 2020 Category: Uncategorised (JEE Advanced Physics by BM Sharma + GMP Solutions) , Facebook Messenger WhatsApp Share this:TwitterFacebook Related