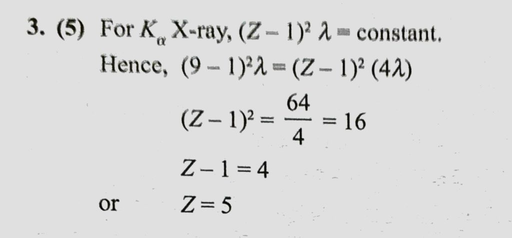
An element of atomic number 9 emits K alpha X-ray of wavelength lemda. Find the atomic number of the element which emits K alpha X-ray of wavelength 4 lemda. An element of atomic number 9 emits K alpha X-ray of wavelength lemda. Find the atomic number of the element which emits K alpha X-ray of wavelength 4 lemda. October 14, 2020 Category: Uncategorised (JEE Advanced Physics by BM Sharma + GMP Solutions) , Facebook Messenger WhatsApp Share this:TwitterFacebook Related