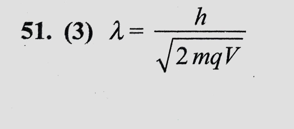
An electron is accelerated through a potential difference of V volt. It has a wavelength lemda associated with it. Through what potential difference an electron must be accelerated so that An electron is accelerated through a potential difference of V volt. It has a wavelength lemda associated with it. Through what potential difference an electron must be accelerated so that October 14, 2020 Category: Uncategorised (JEE Advanced Physics by BM Sharma + GMP Solutions) , Facebook Messenger WhatsApp Share this:TwitterFacebook Related