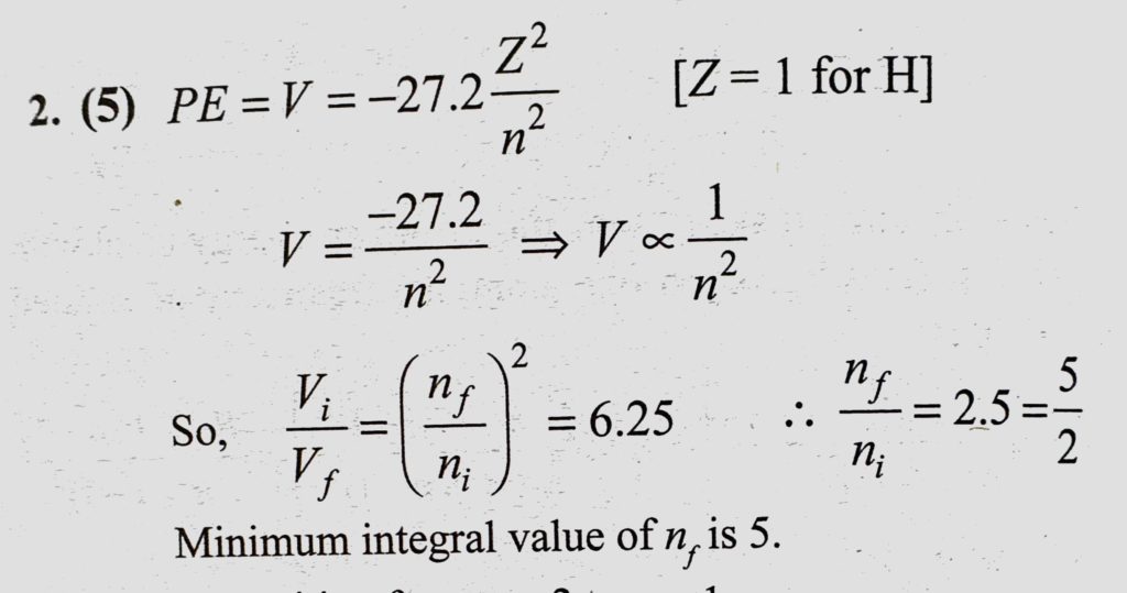
An electron in a hydrogen atom undergoes a transition from an orbit with quantum number ni to another with quantum number nf. Vi and Vf are respectively the initial and final potential An electron in a hydrogen atom undergoes a transition from an orbit with quantum number ni to another with quantum number nf. Vi and Vf are respectively the initial and final potential October 17, 2020 Category: Uncategorised (JEE Advanced Physics by BM Sharma + GMP Solutions) , Facebook Messenger WhatsApp Share this:TwitterFacebook Related