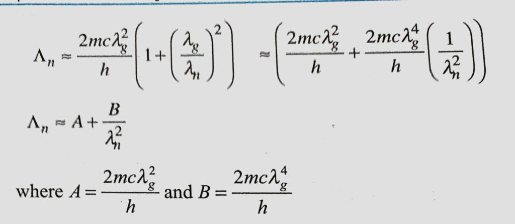
An electron from various excited states of hydrogen atom emit radiation to come to the ground state. Let lemda n, lemda g be the de Broglie wavelength of the electron in the nth state and the ground An electron from various excited states of hydrogen atom emit radiation to come to the ground state. Let lemda n lemda g be the de Broglie wavelength of the electron in the nth state and the ground October 17, 2020 Category: Uncategorised (JEE Advanced Physics by BM Sharma + GMP Solutions) , Facebook Messenger WhatsApp Share this:TwitterFacebook Related