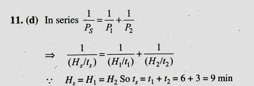
An electric kettle has two coils. When one of these is switched on, the water in the kettle boils in 6 minutes. When the other coil is switched on, the water boils in 3 minutes. If the two coils are connected in series, find the time taken to boil the water in the kettle.


