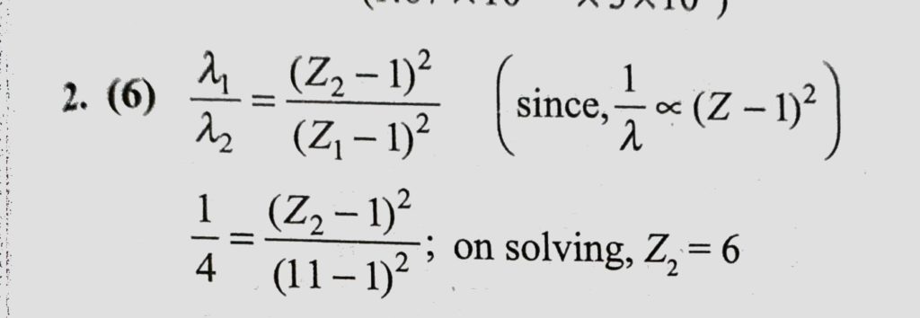
An atom of atomic number Z = 11 emits K alpha wavelength which is lemda. Find the atomic number for an atom that emits K alpha radiation with wavelength 4 lemda (an integer). An atom of atomic number Z = 11 emits K alpha wavelength which is lemda. Find the atomic number for an atom that emits K alpha radiation with wavelength 4 lemda (an integer). October 16, 2020 Category: Uncategorised (JEE Advanced Physics by BM Sharma + GMP Solutions) , Facebook Messenger WhatsApp Share this:TwitterFacebook Related