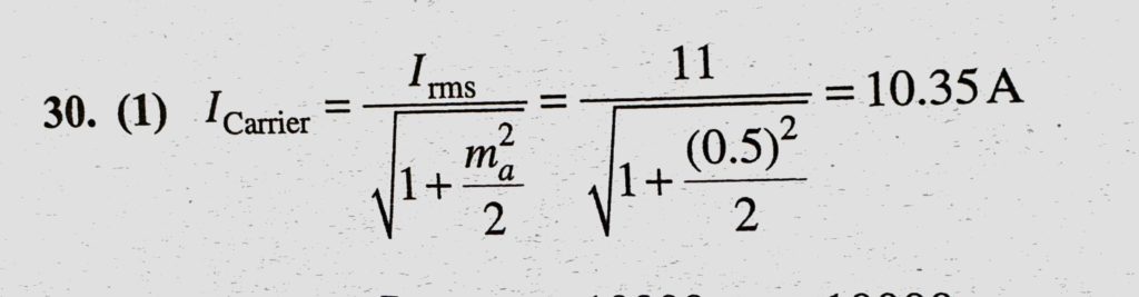
An antenna current of an AM broadcast transmitter modulated by 50% is 11 A. The An antenna current of an AM broadcast transmitter modulated by 50% is 11 A. The October 23, 2020 Category: Uncategorised (JEE Advanced Physics by BM Sharma + GMP Solutions) , Facebook Messenger WhatsApp Share this:TwitterFacebook Related